Showing:

Annotations
Diagrams
Instances
Properties
Source
Used by
Imported schema eml-text.xsd
Namespace eml://ecoinformatics.org/text-2.0.1
Annotations
'$RCSfile: eml-text.xsd,v $'
       Copyright: 1997-2002 Regents of the University of California,
                            University of New Mexico, and
                            Arizona State University
        Sponsors: National Center for Ecological Analysis and Synthesis and
                  Partnership for Interdisciplinary Studies of Coastal Oceans,
                     University of California Santa Barbara
                  Long-Term Ecological Research Network Office,
                     University of New Mexico
                  Center for Environmental Studies, Arizona State University
   Other funding: National Science Foundation (see README for details)
                  The David and Lucile Packard Foundation
     For Details: http://knb.ecoinformatics.org/

        '$Author: jones $'
          '$Date: 2003/11/06 20:15:21 $'
      '$Revision: 1.16 $'

    This program is free software; you can redistribute it and/or modify
    it under the terms of the GNU General Public License as published by
    the Free Software Foundation; either version 2 of the License, or
    (at your option) any later version.

    This program is distributed in the hope that it will be useful,
    but WITHOUT ANY WARRANTY; without even the implied warranty of
    MERCHANTABILITY or FITNESS FOR A PARTICULAR PURPOSE.  See the
    GNU General Public License for more details.

    You should have received a copy of the GNU General Public License
    along with this program; if not, write to the Free Software
    Foundation, Inc., 59 Temple Place, Suite 330, Boston, MA  02111-1307  USA
Properties
attribute form default: unqualified
element form default: unqualified
Element TextType / section
Namespace No namespace
Diagram
Diagram eml-text_xsd.tmp#id147 eml-text_xsd.tmp#id148 eml-text_xsd.tmp#id164 eml-text_xsd.tmp#id146
Type SectionType
Properties
content: complex
Model title{0,1} , (para | section)
Children para, section, title
Instance
<section>
  <title>{0,1}</title>
</section>
Source
<xs:element name="section" type="SectionType">
  <xs:annotation>
    <xs:appinfo>
      <doc:tooltip>Section</doc:tooltip>
      <doc:summary>A section of related text.</doc:summary>
      <doc:description>The "section" element allows for
            grouping related paragraphs of text together, with
            an optional title.  This markup is a subset of DocBook.</doc:description>
    </xs:appinfo>
  </xs:annotation>
</xs:element>
Element SectionType / title
Namespace No namespace
Diagram
Diagram
Type xs:string
Properties
content: simple
minOccurs: 0
Source
<xs:element name="title" type="xs:string" minOccurs="0">
  <xs:annotation>
    <xs:appinfo>
      <doc:tooltip>Title</doc:tooltip>
      <doc:summary>The optional title of the section.</doc:summary>
      <doc:description>The optional title for a section.
            This markup is a subset of DocBook.</doc:description>
    </xs:appinfo>
  </xs:annotation>
</xs:element>
Element SectionType / para
Namespace No namespace
Diagram
Diagram eml-text_xsd.tmp#id150 eml-text_xsd.tmp#id154 eml-text_xsd.tmp#id155 eml-text_xsd.tmp#id156 eml-text_xsd.tmp#id160 eml-text_xsd.tmp#id161 eml-text_xsd.tmp#id149
Type ParagraphType
Properties
content: complex
mixed: true
Model itemizedlist | orderedlist | emphasis | subscript | superscript | literalLayout
Children emphasis, itemizedlist, literalLayout, orderedlist, subscript, superscript
Instance
<para>
  <itemizedlist>{1,1}</itemizedlist>
  <orderedlist>{1,1}</orderedlist>
  <emphasis>{1,1}</emphasis>
  <subscript>{1,1}</subscript>
  <superscript>{1,1}</superscript>
  <literalLayout>{1,1}</literalLayout>
</para>
Source
<xs:element name="para" type="ParagraphType">
  <xs:annotation>
    <xs:appinfo>
      <doc:tooltip>Paragraph</doc:tooltip>
      <doc:summary>A simple paragraph of text.</doc:summary>
      <doc:description>The "paragraph" element allows for
              both formatted and unformatted text blocks to be included
              in EML. It can be plain text or text with a limited set of
              markup tags, inlcuding emphasis, subscript,
              superscript, and lists. This markup is a subset of DocBook.</doc:description>
    </xs:appinfo>
  </xs:annotation>
</xs:element>
Element ParagraphType / itemizedlist
Namespace No namespace
Diagram
Diagram eml-text_xsd.tmp#id152 eml-text_xsd.tmp#id151
Type ListType
Properties
content: complex
Model listitem+
Children listitem
Instance
<itemizedlist>
  <listitem>{1,unbounded}</listitem>
</itemizedlist>
Source
<xs:element name="itemizedlist" type="ListType">
  <xs:annotation>
    <xs:appinfo>
      <doc:tooltip>Itemized List</doc:tooltip>
      <doc:summary>A list of items in a text paragraph.</doc:summary>
      <doc:description>A list of items in a text paragraph.  The
            list is generally displayed as a bulleted list.
            This markup is a subset of DocBook.</doc:description>
    </xs:appinfo>
  </xs:annotation>
</xs:element>
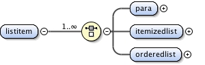
Element ListType / listitem
Namespace No namespace
Diagram
Diagram eml-text_xsd.tmp#id153 eml-text_xsd.tmp#id162 eml-text_xsd.tmp#id163
Properties
content: complex
minOccurs: 1
maxOccurs: unbounded
Model para | itemizedlist | orderedlist
Children itemizedlist, orderedlist, para
Instance
<listitem>
  <para>{1,1}</para>
  <itemizedlist>{1,1}</itemizedlist>
  <orderedlist>{1,1}</orderedlist>
</listitem>
Source
<xs:element name="listitem" minOccurs="1" maxOccurs="unbounded">
  <xs:annotation>
    <xs:appinfo>
      <doc:tooltip>List Item</doc:tooltip>
      <doc:summary>An item in a list of items.</doc:summary>
      <doc:description>An item in a list of items.  Each list item
              is formatted as a bulleted or numbered item depending on the
              list type in which it resides. List items contain paragraphs
              which in turn can be plain text or text with a limited set of
              markup tags, inlcuding emphasis, subscript,
              superscript, and lists. This markup is a subset of DocBook.</doc:description>
    </xs:appinfo>
  </xs:annotation>
  <xs:complexType>
    <xs:choice minOccurs="1" maxOccurs="unbounded">
      <xs:element name="para" type="ParagraphType">
        <xs:annotation>
          <xs:appinfo>
            <doc:tooltip>Paragraph</doc:tooltip>
            <doc:summary>A simple paragraph of text.</doc:summary>
            <doc:description>The "paragraph" element allows for
                    both formatted and unformatted text blocks to be included
                    in EML. It can be plain text or text with a limited set of
                    markup tags, inlcuding emphasis, subscript,
                    superscript, and lists. This markup is a subset of DocBook.</doc:description>
          </xs:appinfo>
        </xs:annotation>
      </xs:element>
      <xs:element name="itemizedlist" type="ListType">
        <xs:annotation>
          <xs:appinfo>
            <doc:tooltip>Itemized List</doc:tooltip>
            <doc:summary>A list of items in a text paragraph.</doc:summary>
            <doc:description>A list of items in a text paragraph.  The
                    list is generally displayed as a bulleted list.
                    This markup is a subset of DocBook.</doc:description>
          </xs:appinfo>
        </xs:annotation>
      </xs:element>
      <xs:element name="orderedlist" type="ListType">
        <xs:annotation>
          <xs:appinfo>
            <doc:tooltip>Ordered List</doc:tooltip>
            <doc:summary>An ordered list of items in a text paragraph.</doc:summary>
            <doc:description>An ordered list of items in a text
                    paragraph.  The list is generally displayed as a numbered
                    list. This markup is a subset of DocBook.</doc:description>
          </xs:appinfo>
        </xs:annotation>
      </xs:element>
    </xs:choice>
  </xs:complexType>
</xs:element>
Element ListType / listitem / para
Namespace No namespace
Diagram
Diagram eml-text_xsd.tmp#id150 eml-text_xsd.tmp#id154 eml-text_xsd.tmp#id155 eml-text_xsd.tmp#id156 eml-text_xsd.tmp#id160 eml-text_xsd.tmp#id161 eml-text_xsd.tmp#id149
Type ParagraphType
Properties
content: complex
mixed: true
Model itemizedlist | orderedlist | emphasis | subscript | superscript | literalLayout
Children emphasis, itemizedlist, literalLayout, orderedlist, subscript, superscript
Instance
<para>
  <itemizedlist>{1,1}</itemizedlist>
  <orderedlist>{1,1}</orderedlist>
  <emphasis>{1,1}</emphasis>
  <subscript>{1,1}</subscript>
  <superscript>{1,1}</superscript>
  <literalLayout>{1,1}</literalLayout>
</para>
Source
<xs:element name="para" type="ParagraphType">
  <xs:annotation>
    <xs:appinfo>
      <doc:tooltip>Paragraph</doc:tooltip>
      <doc:summary>A simple paragraph of text.</doc:summary>
      <doc:description>The "paragraph" element allows for
                    both formatted and unformatted text blocks to be included
                    in EML. It can be plain text or text with a limited set of
                    markup tags, inlcuding emphasis, subscript,
                    superscript, and lists. This markup is a subset of DocBook.</doc:description>
    </xs:appinfo>
  </xs:annotation>
</xs:element>
Element ParagraphType / orderedlist
Namespace No namespace
Diagram
Diagram eml-text_xsd.tmp#id152 eml-text_xsd.tmp#id151
Type ListType
Properties
content: complex
Model listitem+
Children listitem
Instance
<orderedlist>
  <listitem>{1,unbounded}</listitem>
</orderedlist>
Source
<xs:element name="orderedlist" type="ListType">
  <xs:annotation>
    <xs:appinfo>
      <doc:tooltip>Ordered List</doc:tooltip>
      <doc:summary>An ordered list of items in a text paragraph.</doc:summary>
      <doc:description>An ordered list of items in a text
            paragraph.  The list is generally displayed as a numbered
            list. This markup is a subset of DocBook.</doc:description>
    </xs:appinfo>
  </xs:annotation>
</xs:element>
Element ParagraphType / emphasis
Namespace No namespace
Diagram
Diagram
Type xs:string
Properties
content: simple
Source
<xs:element name="emphasis" type="xs:string">
  <xs:annotation>
    <xs:appinfo>
      <doc:tooltip>Emphasis</doc:tooltip>
      <doc:summary>A span of emphasized text in a paragraph.</doc:summary>
      <doc:description>A span of emphasized text in a paragraph.
             Emphasized text is generally rendered as boldfaced or otherwise
             distinct from the surrounding text.
             This markup is a subset of DocBook.</doc:description>
    </xs:appinfo>
  </xs:annotation>
</xs:element>
Element ParagraphType / subscript
Namespace No namespace
Diagram
Diagram eml-text_xsd.tmp#id158 eml-text_xsd.tmp#id159 eml-text_xsd.tmp#id157
Type SubSuperScriptType
Properties
content: complex
mixed: true
Model subscript | superscript
Children subscript, superscript
Instance
<subscript>
  <subscript>{1,1}</subscript>
  <superscript>{1,1}</superscript>
</subscript>
Source
<xs:element name="subscript" type="SubSuperScriptType">
  <xs:annotation>
    <xs:appinfo>
      <doc:tooltip>Subscript</doc:tooltip>
      <doc:summary>A subscript in a text paragraph.</doc:summary>
      <doc:description>A subscript in a text paragraph.
             This markup is a subset of DocBook.</doc:description>
    </xs:appinfo>
  </xs:annotation>
</xs:element>
Element SubSuperScriptType / subscript
Namespace No namespace
Diagram
Diagram eml-text_xsd.tmp#id158 eml-text_xsd.tmp#id159 eml-text_xsd.tmp#id157
Type SubSuperScriptType
Properties
content: complex
mixed: true
Model subscript | superscript
Children subscript, superscript
Instance
<subscript>
  <subscript>{1,1}</subscript>
  <superscript>{1,1}</superscript>
</subscript>
Source
<xs:element name="subscript" type="SubSuperScriptType">
  <xs:annotation>
    <xs:appinfo>
      <doc:tooltip>Subscript</doc:tooltip>
      <doc:summary>A subscript in a text paragraph.</doc:summary>
      <doc:description>A subscript in a text paragraph.
             This markup is a subset of DocBook.</doc:description>
    </xs:appinfo>
  </xs:annotation>
</xs:element>
Element SubSuperScriptType / superscript
Namespace No namespace
Diagram
Diagram eml-text_xsd.tmp#id158 eml-text_xsd.tmp#id159 eml-text_xsd.tmp#id157
Type SubSuperScriptType
Properties
content: complex
mixed: true
Model subscript | superscript
Children subscript, superscript
Instance
<superscript>
  <subscript>{1,1}</subscript>
  <superscript>{1,1}</superscript>
</superscript>
Source
<xs:element name="superscript" type="SubSuperScriptType">
  <xs:annotation>
    <xs:appinfo>
      <doc:tooltip>Superscript</doc:tooltip>
      <doc:summary>A superscript in a text paragraph.</doc:summary>
      <doc:description>A superscript in a text paragraph.
             This markup is a subset of DocBook.</doc:description>
    </xs:appinfo>
  </xs:annotation>
</xs:element>
Element ParagraphType / superscript
Namespace No namespace
Diagram
Diagram eml-text_xsd.tmp#id158 eml-text_xsd.tmp#id159 eml-text_xsd.tmp#id157
Type SubSuperScriptType
Properties
content: complex
mixed: true
Model subscript | superscript
Children subscript, superscript
Instance
<superscript>
  <subscript>{1,1}</subscript>
  <superscript>{1,1}</superscript>
</superscript>
Source
<xs:element name="superscript" type="SubSuperScriptType">
  <xs:annotation>
    <xs:appinfo>
      <doc:tooltip>Superscript</doc:tooltip>
      <doc:summary>A superscript in a text paragraph.</doc:summary>
      <doc:description>A superscript in a text paragraph.
             This markup is a subset of DocBook.</doc:description>
    </xs:appinfo>
  </xs:annotation>
</xs:element>
Element ParagraphType / literalLayout
Namespace No namespace
Diagram
Diagram
Type xs:string
Properties
content: simple
Source
<xs:element name="literalLayout" type="xs:string">
  <xs:annotation>
    <xs:appinfo>
      <doc:tooltip>literalLayout</doc:tooltip>
      <doc:summary>The equivalent to <pre> in html.</doc:summary>
      <doc:description>This element specifies that the structure of
            the text within the tag, specifically the whitespace, should not
            be altered.</doc:description>
    </xs:appinfo>
  </xs:annotation>
</xs:element>
Element ListType / listitem / itemizedlist
Namespace No namespace
Diagram
Diagram eml-text_xsd.tmp#id152 eml-text_xsd.tmp#id151
Type ListType
Properties
content: complex
Model listitem+
Children listitem
Instance
<itemizedlist>
  <listitem>{1,unbounded}</listitem>
</itemizedlist>
Source
<xs:element name="itemizedlist" type="ListType">
  <xs:annotation>
    <xs:appinfo>
      <doc:tooltip>Itemized List</doc:tooltip>
      <doc:summary>A list of items in a text paragraph.</doc:summary>
      <doc:description>A list of items in a text paragraph.  The
                    list is generally displayed as a bulleted list.
                    This markup is a subset of DocBook.</doc:description>
    </xs:appinfo>
  </xs:annotation>
</xs:element>
Element ListType / listitem / orderedlist
Namespace No namespace
Diagram
Diagram eml-text_xsd.tmp#id152 eml-text_xsd.tmp#id151
Type ListType
Properties
content: complex
Model listitem+
Children listitem
Instance
<orderedlist>
  <listitem>{1,unbounded}</listitem>
</orderedlist>
Source
<xs:element name="orderedlist" type="ListType">
  <xs:annotation>
    <xs:appinfo>
      <doc:tooltip>Ordered List</doc:tooltip>
      <doc:summary>An ordered list of items in a text paragraph.</doc:summary>
      <doc:description>An ordered list of items in a text
                    paragraph.  The list is generally displayed as a numbered
                    list. This markup is a subset of DocBook.</doc:description>
    </xs:appinfo>
  </xs:annotation>
</xs:element>
Element SectionType / section
Namespace No namespace
Diagram
Diagram eml-text_xsd.tmp#id147 eml-text_xsd.tmp#id148 eml-text_xsd.tmp#id164 eml-text_xsd.tmp#id146
Type SectionType
Properties
content: complex
Model title{0,1} , (para | section)
Children para, section, title
Instance
<section>
  <title>{0,1}</title>
</section>
Source
<xs:element name="section" type="SectionType">
  <xs:annotation>
    <xs:appinfo>
      <doc:tooltip>Section</doc:tooltip>
      <doc:summary>A section of related text.</doc:summary>
      <doc:description>The "section" element allows for
              grouping related paragraphs of text together, with
              an optional title.  This markup is a subset of DocBook.</doc:description>
    </xs:appinfo>
  </xs:annotation>
</xs:element>
Element TextType / para
Namespace No namespace
Diagram
Diagram eml-text_xsd.tmp#id150 eml-text_xsd.tmp#id154 eml-text_xsd.tmp#id155 eml-text_xsd.tmp#id156 eml-text_xsd.tmp#id160 eml-text_xsd.tmp#id161 eml-text_xsd.tmp#id149
Type ParagraphType
Properties
content: complex
mixed: true
Model itemizedlist | orderedlist | emphasis | subscript | superscript | literalLayout
Children emphasis, itemizedlist, literalLayout, orderedlist, subscript, superscript
Instance
<para>
  <itemizedlist>{1,1}</itemizedlist>
  <orderedlist>{1,1}</orderedlist>
  <emphasis>{1,1}</emphasis>
  <subscript>{1,1}</subscript>
  <superscript>{1,1}</superscript>
  <literalLayout>{1,1}</literalLayout>
</para>
Source
<xs:element name="para" type="ParagraphType">
  <xs:annotation>
    <xs:appinfo>
      <doc:tooltip>Paragraph</doc:tooltip>
      <doc:summary>A simple paragraph of text.</doc:summary>
      <doc:description>The "paragraph" element allows for
            both formatted and unformatted text blocks to be included
            in EML. It can be plain text or text with a limited set of
            markup tags, inlcuding emphasis, subscript,
            superscript, and lists. This markup is a subset of DocBook.</doc:description>
    </xs:appinfo>
  </xs:annotation>
</xs:element>
Element text
Namespace eml://ecoinformatics.org/text-2.0.1
Diagram
Diagram eml-text_xsd.tmp#id145 eml-text_xsd.tmp#id165 eml-text_xsd.tmp#id144
Type TextType
Properties
content: complex
Model section | para
Children para, section
Instance
<text>
  <section>{1,1}</section>
  <para>{1,1}</para>
</text>
Source
<xs:element name="text" type="TextType">
  <xs:annotation>
    <xs:appinfo>
      <doc:tooltip>Text</doc:tooltip>
      <doc:summary>A simple text desription.</doc:summary>
      <doc:description>The "text" element allows for both formatted and
        unformatted text blocks to be included in EML. It can contain a number
        of relevant subsections that allow the use of titles, sections, and
        paragraphs in the text block. This markup is a subset of DocBook.</doc:description>
    </xs:appinfo>
  </xs:annotation>
</xs:element>
Complex Type TextType
Namespace eml://ecoinformatics.org/text-2.0.1
Diagram
Diagram eml-text_xsd.tmp#id145 eml-text_xsd.tmp#id165
Used by
Model section | para
Children para, section
Source
<xs:complexType name="TextType">
  <xs:annotation>
    <xs:appinfo>
      <doc:tooltip>Text</doc:tooltip>
      <doc:summary>A simple text desription.</doc:summary>
      <doc:description>The "text" element allows for both formatted and
        unformatted text blocks to be included in EML. It can contain a number
        of relevant subsections that allow the use of titles, sections, and
        paragraphs in the text block. This markup is a subset of DocBook.</doc:description>
    </xs:appinfo>
  </xs:annotation>
  <xs:choice maxOccurs="unbounded">
    <xs:element name="section" type="SectionType">
      <xs:annotation>
        <xs:appinfo>
          <doc:tooltip>Section</doc:tooltip>
          <doc:summary>A section of related text.</doc:summary>
          <doc:description>The "section" element allows for
            grouping related paragraphs of text together, with
            an optional title.  This markup is a subset of DocBook.</doc:description>
        </xs:appinfo>
      </xs:annotation>
    </xs:element>
    <xs:element name="para" type="ParagraphType">
      <xs:annotation>
        <xs:appinfo>
          <doc:tooltip>Paragraph</doc:tooltip>
          <doc:summary>A simple paragraph of text.</doc:summary>
          <doc:description>The "paragraph" element allows for
            both formatted and unformatted text blocks to be included
            in EML. It can be plain text or text with a limited set of
            markup tags, inlcuding emphasis, subscript,
            superscript, and lists. This markup is a subset of DocBook.</doc:description>
        </xs:appinfo>
      </xs:annotation>
    </xs:element>
  </xs:choice>
</xs:complexType>
Complex Type SectionType
Namespace eml://ecoinformatics.org/text-2.0.1
Diagram
Diagram eml-text_xsd.tmp#id147 eml-text_xsd.tmp#id148 eml-text_xsd.tmp#id164
Used by
Model title{0,1} , (para | section)
Children para, section, title
Source
<xs:complexType name="SectionType">
  <xs:annotation>
    <xs:appinfo>
      <doc:tooltip>Section</doc:tooltip>
      <doc:summary>A section of related text.</doc:summary>
      <doc:description>The "section" element allows for
        grouping related paragraphs of text together, with
        an optional title.  This markup is a subset of DocBook.</doc:description>
    </xs:appinfo>
  </xs:annotation>
  <xs:sequence>
    <xs:element name="title" type="xs:string" minOccurs="0">
      <xs:annotation>
        <xs:appinfo>
          <doc:tooltip>Title</doc:tooltip>
          <doc:summary>The optional title of the section.</doc:summary>
          <doc:description>The optional title for a section.
            This markup is a subset of DocBook.</doc:description>
        </xs:appinfo>
      </xs:annotation>
    </xs:element>
    <xs:choice maxOccurs="unbounded">
      <xs:element name="para" type="ParagraphType">
        <xs:annotation>
          <xs:appinfo>
            <doc:tooltip>Paragraph</doc:tooltip>
            <doc:summary>A simple paragraph of text.</doc:summary>
            <doc:description>The "paragraph" element allows for
              both formatted and unformatted text blocks to be included
              in EML. It can be plain text or text with a limited set of
              markup tags, inlcuding emphasis, subscript,
              superscript, and lists. This markup is a subset of DocBook.</doc:description>
          </xs:appinfo>
        </xs:annotation>
      </xs:element>
      <xs:element name="section" type="SectionType">
        <xs:annotation>
          <xs:appinfo>
            <doc:tooltip>Section</doc:tooltip>
            <doc:summary>A section of related text.</doc:summary>
            <doc:description>The "section" element allows for
              grouping related paragraphs of text together, with
              an optional title.  This markup is a subset of DocBook.</doc:description>
          </xs:appinfo>
        </xs:annotation>
      </xs:element>
    </xs:choice>
  </xs:sequence>
</xs:complexType>
Complex Type ParagraphType
Namespace eml://ecoinformatics.org/text-2.0.1
Diagram
Diagram eml-text_xsd.tmp#id150 eml-text_xsd.tmp#id154 eml-text_xsd.tmp#id155 eml-text_xsd.tmp#id156 eml-text_xsd.tmp#id160 eml-text_xsd.tmp#id161
Properties
mixed: true
Used by
Model itemizedlist | orderedlist | emphasis | subscript | superscript | literalLayout
Children emphasis, itemizedlist, literalLayout, orderedlist, subscript, superscript
Source
<xs:complexType name="ParagraphType" mixed="true">
  <xs:annotation>
    <xs:appinfo>
      <doc:tooltip>Paragraph</doc:tooltip>
      <doc:summary>A simple paragraph of text.</doc:summary>
      <doc:description>The "paragraph" element allows for
        both formatted and unformatted text blocks to be included
        in EML. It can be plain text or text with a limited set of
        markup tags, inlcuding emphasis, subscript,
        superscript, and lists. This markup is a subset of DocBook.</doc:description>
    </xs:appinfo>
  </xs:annotation>
  <xs:choice minOccurs="0" maxOccurs="unbounded">
    <xs:element name="itemizedlist" type="ListType">
      <xs:annotation>
        <xs:appinfo>
          <doc:tooltip>Itemized List</doc:tooltip>
          <doc:summary>A list of items in a text paragraph.</doc:summary>
          <doc:description>A list of items in a text paragraph.  The
            list is generally displayed as a bulleted list.
            This markup is a subset of DocBook.</doc:description>
        </xs:appinfo>
      </xs:annotation>
    </xs:element>
    <xs:element name="orderedlist" type="ListType">
      <xs:annotation>
        <xs:appinfo>
          <doc:tooltip>Ordered List</doc:tooltip>
          <doc:summary>An ordered list of items in a text paragraph.</doc:summary>
          <doc:description>An ordered list of items in a text
            paragraph.  The list is generally displayed as a numbered
            list. This markup is a subset of DocBook.</doc:description>
        </xs:appinfo>
      </xs:annotation>
    </xs:element>
    <xs:element name="emphasis" type="xs:string">
      <xs:annotation>
        <xs:appinfo>
          <doc:tooltip>Emphasis</doc:tooltip>
          <doc:summary>A span of emphasized text in a paragraph.</doc:summary>
          <doc:description>A span of emphasized text in a paragraph.
             Emphasized text is generally rendered as boldfaced or otherwise
             distinct from the surrounding text.
             This markup is a subset of DocBook.</doc:description>
        </xs:appinfo>
      </xs:annotation>
    </xs:element>
    <xs:element name="subscript" type="SubSuperScriptType">
      <xs:annotation>
        <xs:appinfo>
          <doc:tooltip>Subscript</doc:tooltip>
          <doc:summary>A subscript in a text paragraph.</doc:summary>
          <doc:description>A subscript in a text paragraph.
             This markup is a subset of DocBook.</doc:description>
        </xs:appinfo>
      </xs:annotation>
    </xs:element>
    <xs:element name="superscript" type="SubSuperScriptType">
      <xs:annotation>
        <xs:appinfo>
          <doc:tooltip>Superscript</doc:tooltip>
          <doc:summary>A superscript in a text paragraph.</doc:summary>
          <doc:description>A superscript in a text paragraph.
             This markup is a subset of DocBook.</doc:description>
        </xs:appinfo>
      </xs:annotation>
    </xs:element>
    <xs:element name="literalLayout" type="xs:string">
      <xs:annotation>
        <xs:appinfo>
          <doc:tooltip>literalLayout</doc:tooltip>
          <doc:summary>The equivalent to <pre> in html.</doc:summary>
          <doc:description>This element specifies that the structure of
            the text within the tag, specifically the whitespace, should not
            be altered.</doc:description>
        </xs:appinfo>
      </xs:annotation>
    </xs:element>
  </xs:choice>
</xs:complexType>
Complex Type ListType
Namespace eml://ecoinformatics.org/text-2.0.1
Diagram
Diagram eml-text_xsd.tmp#id152
Used by
Model listitem+
Children listitem
Source
<xs:complexType name="ListType">
  <xs:annotation>
    <xs:appinfo>
      <doc:tooltip>ListType</doc:tooltip>
      <doc:summary>A list of items in a text paragraph.</doc:summary>
      <doc:description>A list of items in a text paragraph.  The ListType
        is used by both orderedlist elements and itemizedlist elements.
        This markup is a subset of DocBook.</doc:description>
    </xs:appinfo>
  </xs:annotation>
  <xs:sequence>
    <xs:element name="listitem" minOccurs="1" maxOccurs="unbounded">
      <xs:annotation>
        <xs:appinfo>
          <doc:tooltip>List Item</doc:tooltip>
          <doc:summary>An item in a list of items.</doc:summary>
          <doc:description>An item in a list of items.  Each list item
              is formatted as a bulleted or numbered item depending on the
              list type in which it resides. List items contain paragraphs
              which in turn can be plain text or text with a limited set of
              markup tags, inlcuding emphasis, subscript,
              superscript, and lists. This markup is a subset of DocBook.</doc:description>
        </xs:appinfo>
      </xs:annotation>
      <xs:complexType>
        <xs:choice minOccurs="1" maxOccurs="unbounded">
          <xs:element name="para" type="ParagraphType">
            <xs:annotation>
              <xs:appinfo>
                <doc:tooltip>Paragraph</doc:tooltip>
                <doc:summary>A simple paragraph of text.</doc:summary>
                <doc:description>The "paragraph" element allows for
                    both formatted and unformatted text blocks to be included
                    in EML. It can be plain text or text with a limited set of
                    markup tags, inlcuding emphasis, subscript,
                    superscript, and lists. This markup is a subset of DocBook.</doc:description>
              </xs:appinfo>
            </xs:annotation>
          </xs:element>
          <xs:element name="itemizedlist" type="ListType">
            <xs:annotation>
              <xs:appinfo>
                <doc:tooltip>Itemized List</doc:tooltip>
                <doc:summary>A list of items in a text paragraph.</doc:summary>
                <doc:description>A list of items in a text paragraph.  The
                    list is generally displayed as a bulleted list.
                    This markup is a subset of DocBook.</doc:description>
              </xs:appinfo>
            </xs:annotation>
          </xs:element>
          <xs:element name="orderedlist" type="ListType">
            <xs:annotation>
              <xs:appinfo>
                <doc:tooltip>Ordered List</doc:tooltip>
                <doc:summary>An ordered list of items in a text paragraph.</doc:summary>
                <doc:description>An ordered list of items in a text
                    paragraph.  The list is generally displayed as a numbered
                    list. This markup is a subset of DocBook.</doc:description>
              </xs:appinfo>
            </xs:annotation>
          </xs:element>
        </xs:choice>
      </xs:complexType>
    </xs:element>
  </xs:sequence>
</xs:complexType>
Complex Type SubSuperScriptType
Namespace eml://ecoinformatics.org/text-2.0.1
Diagram
Diagram eml-text_xsd.tmp#id158 eml-text_xsd.tmp#id159
Properties
mixed: true
Used by
Model subscript | superscript
Children subscript, superscript
Source
<xs:complexType name="SubSuperScriptType" mixed="true">
  <xs:annotation>
    <xs:appinfo>
      <doc:tooltip>Subscript/Superscript Type</doc:tooltip>
      <doc:summary>A subscript or a superscript in a text paragraph.</doc:summary>
      <doc:description>A subscript or a superscript in a text paragraph.
        This type is used by both subscript and superscript elements to define
        their recursive content. This markup is a subset of DocBook.</doc:description>
    </xs:appinfo>
  </xs:annotation>
  <xs:choice minOccurs="0" maxOccurs="unbounded">
    <xs:element name="subscript" type="SubSuperScriptType">
      <xs:annotation>
        <xs:appinfo>
          <doc:tooltip>Subscript</doc:tooltip>
          <doc:summary>A subscript in a text paragraph.</doc:summary>
          <doc:description>A subscript in a text paragraph.
             This markup is a subset of DocBook.</doc:description>
        </xs:appinfo>
      </xs:annotation>
    </xs:element>
    <xs:element name="superscript" type="SubSuperScriptType">
      <xs:annotation>
        <xs:appinfo>
          <doc:tooltip>Superscript</doc:tooltip>
          <doc:summary>A superscript in a text paragraph.</doc:summary>
          <doc:description>A superscript in a text paragraph.
             This markup is a subset of DocBook.</doc:description>
        </xs:appinfo>
      </xs:annotation>
    </xs:element>
  </xs:choice>
</xs:complexType>